首页
关于我们
公司简介
企业文化
资质荣誉
厂房厂貌
宣传视频
产品中心
聚全氟乙丙烯
聚偏氟乙烯
氟橡胶
常温固化交联型氟碳树
氟硅橡胶
氢氟醚
含氟精细化学品
其他产品
新闻中心
企业新闻
行业动态
公司文化
技术专栏
人力资源
人才战略
社会招聘
校园招聘
留言中心
联系我们
Language
CN
EN
首页
关于我们
公司简介
企业文化
资质荣誉
厂房厂貌
宣传视频
产品中心
聚全氟乙丙烯
聚偏氟乙烯
氟橡胶
常温固化交联型氟碳树
氟硅橡胶
氢氟醚
含氟精细化学品
其他产品
新闻中心
企业新闻
行业动态
公司文化
技术专栏
人力资源
人才战略
社会招聘
校园招聘
留言中心
联系我们
CN
EN
新闻中心
news center
企业新闻
行业动态
公司文化
技术专栏
首页
-
新闻中心
-
企业新闻
企业新闻
企业新闻
行业动态
公司文化
技术专栏
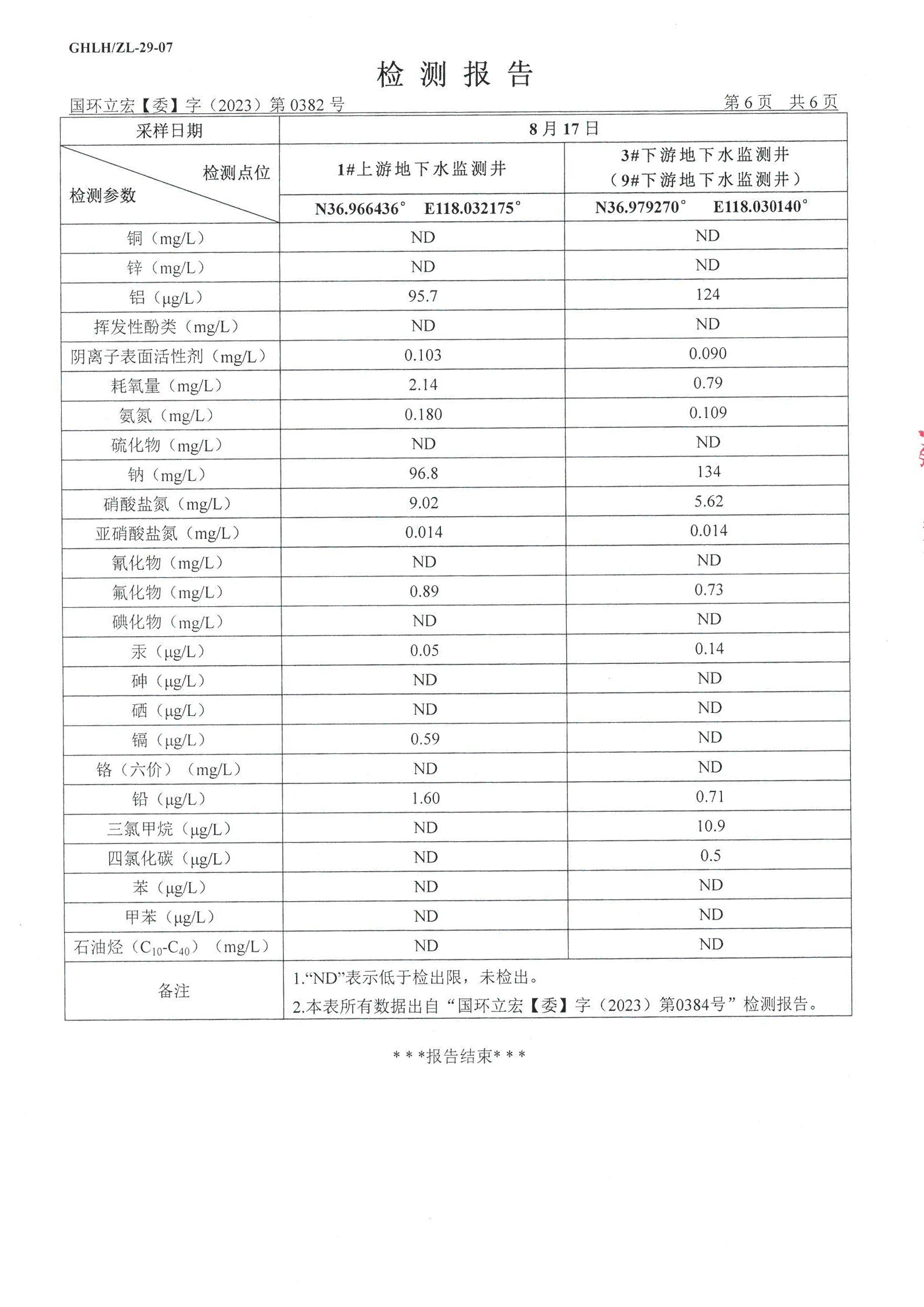
山东华夏神舟新材料有限公司2023年地下水检测报告
时间:2023-12-25 浏览:421
上一篇
返回列表
下一篇